コラム vol.5332025年の住宅?土地活用市況の見通し
公開日:2024/12/26
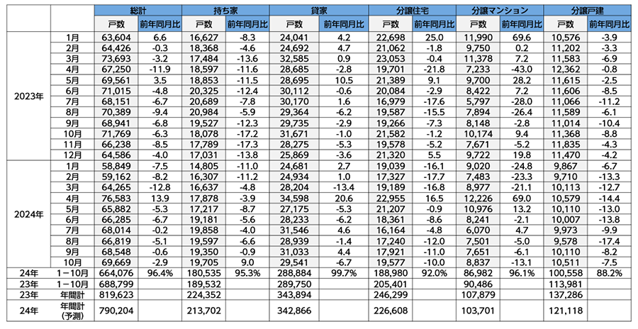
2024の新設住宅著工戸數の著地見通し
住宅関連の市況を色濃く反映する新設住宅著工戸數の動向を見ておきます?2024年の新設住宅著工戸數は執(zhí)筆時12月17日において10月分まで公表されており?11?12月分は発表されていませんが?1-10月の10か月分のデータを基に(このペースが続くものとして)年間合計の予測をすると?新設住宅著工戸數の総數は79萬戸程度になる見通しです?リーマンショック後の2009年以來の80萬戸以下となりそうな様子です?昨年2023年の年間合計は81萬9623戸でしたので?これよりも5%弱少なくなりそうです?
図1:2023年~24年10月までの新設住宅著工戸數
國土交通省?住宅著工統(tǒng)計?より作成
一方で?持ち家?(所有する土地に自宅を建築)の著工戸數は?2021年12月から前年同月比マイナスが続いていましたが?2024年10月におよそ3年ぶりに前年同月比でプラス(+9%)となりました?プラスとなったのはまだ1カ月ですが?秋以降の動向をみていると?下げ止まり感が出てきていると言えそうです?
?持ち家?著工戸數の見通しと戸建不振の要因
自己所有の土地に自用の住宅を建築する?つまり一般的には?注文住宅?と呼ばれるのが?持ち家?です?また?自用の一戸建て住宅で土地と建物を一體として提供されるのが?分譲戸建?ですが?2022年以降不振が続いています?とくに??持ち家?の落込みは大きく2000年代前半と比較すれば半減している狀況です?
2024年1-10月までの?持ち家?著工戸數は18萬535戸で?昨年の同期間比でマイナス4.7%?このペースでいけば2024年の年間では21萬3702戸となり?過去をさかのぼれば66年前の1959年(20萬4280萬戸)に次ぐ少なさとなりそうです?
不振が続く要因は?いくつかあります?後述する戸建住宅建築費が高騰していることに加えて?戸建住宅のリセールバリュー(中古再販価格)の低さが浮き彫りになってきていることも要因と思われます?
中古マンション価格が2013年以降上昇を続けるなかで?中古戸建の価格上昇は限定的で?國土交通省の不動産価格指數を區(qū)分マンションと戸建住宅で比較すれば?區(qū)分マンションは2010年を100とすれば2024年後半には200を超えていますが?戸建は120~130程度で推移しており?戸建住宅のリセールバリューの低さが窺えます?
?自宅?を購入する場合?自らが毎日を過ごす場所としての?効用?を考え?郊外の靜かな一軒家を選ぶケースと??資産価値?として考え??リセールバリュー?を比較して購入するケースがありますが?後者が増加することで?マンションの方にニーズが移っているのかもしれません?
しかし?その一方で?特に富裕層などでは?やはりゆるぎない価値のある?土地?を保有して?そこに住みたいと考える方も多く?揺り戻しも出てきているものと思われます?また?デュアルライフが浸透してきており?別荘需要も増えていることから?高額帯の戸建て住宅の建築は今後増加するものと思われます?
2022年?2023年の2年間?持ち家?著工戸數は10%以上の減少となりましたが?2024年は5%程度のマイナスに留まりそうです?しかし??持ち家?つまり?注文住宅?の建築數は?今後もゆっくりと減少基調が続くものと思われます?
建築工事費の上昇
ここ3年間の?持ち家?や?分譲戸建?著工戸數の落込みの大きな要因は?建築工事費が高止まりしていることでしょう?
図2:建設工事費デフレーター:建て方別前年同月比の推移(2020年1月~)

國土交通省?建設工事費デフレーター?より作成
2022年から2023年夏ごろまでは大きく上昇した住宅建築工事費ですが?2023年後半から高止まりながらも上昇スピードは落ち著きを見せていました?しかし?2024年に入ると再び建築工事費は上昇しています?原材料費の高騰に加えて?労働人件費や輸送費の上昇が大きな要因と思われます?2024年4月から導入された??建築?建設業(yè)界の働き方改革?により?工事関連の人手不足がいっそう顕著となり?その結果労働人権費が上昇?そして建築費上昇という傾向になっているようです?
中堅?中小建築會社では?職人が足りない?という狀況が続いているようで??工事を受注しても?著工はずいぶん先?という狀況もあると聞きます?
しかしながら?物価の上昇は続いており?日銀によれば2024年のインフレ率は概ね2.5%?2025年?2026年の見通しも2%程度と予想されておりますので?住宅建築工事費は少なくともこの率以上の上昇はあるものと思っていいでしょう?そのため?新築住宅価格(全般的に不動産建築価格)は今後さらに上昇するでしょう?
2024年の貸家著工數の狀況
一方で?ある程度の狀況を維持しているが貸家(賃貸用住宅)の著工戸數です?貸家著工戸數は2020年には大きく落としましたが?2022年は34.5萬戸?2023年は34.3萬戸とほぼ橫ばいが続いています?2024年の1-10月を見ても2023年1-10月とほぼ同數(99.7%)で?年間計もほぼ橫ばいの34.2~34.3萬戸となりそうです?
賃貸用住宅の建築は?土地活用として自己所有の土地に賃貸住宅を建築する場合?デベロッパーやハウスメーカー?建築會社などが自己所有や売卻用に賃貸住宅を建築する場合と?主に二つのパターンがあります?前者の土地活用としての賃貸住宅建築數は?この數年減少傾向にありますが?後者の方は好調で?投資家の賃貸住宅投資意欲が高い狀況が続いており?都市中心部での建築適地は減少傾向にありますが?郊外や周辺都市に範囲が広がる形で?著実に建築が進んでいるようです?
2025年の土地活用?賃貸住宅市況予測~賃料~
土地活用?特に賃貸住宅建築においては?賃料の動向は大きな影響を與えます?
ご承知のとおり?住宅賃料は?都市部だけでなく?全國の主要都市を中心に上昇傾向にあります?とくにファミリータイプの賃貸住宅の賃料は過去最高水準となっています?この傾向は地方主要都市にも広がっています?住宅賃料=家賃の詳細な公的なデータはありませんが?前述の通り日銀は2025?2026年も2%程度の物価上昇があるとしていますので?多少の時差はあると思いますが?多くの地域で賃料上昇があると考えていいでしょう?賃料上昇は?いうまでもなく土地活用市況?不動産投資市況にはポジティブに働きます?そのため?貸家の著工戸數も現狀程度の數字が続くものと思われます?
政策金利の上昇と変動金利
?金利の上昇が気になる?と言う方もいます?確かに2024年は不動産市況に大きな影響を與える金融政策に大きな変更がありました?
2024年3月にはマイナス金利が解除され政策金利(の誘導目標)が0%となり?また7月末の日銀金融政策決定會合では政策金利が0.25%(同)へ?これで2008年12月以來?約16年ぶりに?金利のある狀態(tài)?となりました?
政策金利の上昇は短期プライムレートの上昇?そして変動金利の上昇へとつながるのが常ですが?店頭金利(基準金利)では多少の上昇気配は見られましたが?実際の借入金利ではそれほど大きな動きはありませんでした?
政策金利の上昇は短期プライムレートの上昇となり?順當ならば変動金利の上昇へとつながります?しかし?大手銀行の住宅ローンの変動金利の狀況をみれば?基準金利はそれまで(しばらくの間)2.475%が続いていましたが?10月以降は2.625%と0.15%上昇しました?一方?実際の借入金利は基準金利から?優(yōu)遇分?を引いて0.375%~0.4%臺と大きな変化なく推移しています?なお?政策金利は10月末?12月18-19日の日銀金融政策決定會合でも據え置きとなりました?
まだ?金融緩和は続いている
政策金利は多少上がりましたが?理論上の?政策金利=自然利子率+予想インフレ率?と比べればまだ低い狀況です?
ここでいう自然利子率とは?経済?物価に対して引締め的でも緩和的でもない景気に中立的な実質金利のことで?內閣府が2023年に示した潛在成長率を自然利子率に適用すれば0.5%前後?最近のいくつかのシンクタンクの公表數字では?-0.5~0.5%の範囲となっています?
予想インフレ率は??日銀展望リポート?(最新2024年10月公表)によれば?2024年のインフレ率見通し(コア:前年比)は2.5%?2025年は2.1%?2026年は1.9%となっており?インフレ率見通しをざっくり2%とすれば理論上の政策金利は1.5%~2.5%となります?こう考えれば?現在もかなりの?金融緩和狀態(tài)?にあることが分かります?
そのため?今後の経済狀況次第ですが?2025年の間に0.75%~1%程度までの上昇可能性はあるとみておいてもいいかもしれません?
実質金利は低下している
また?借り入れを行う際の金利は多少上昇していますが??実質金利?でみれば?以前よりも低い狀況にあります?
実質金利とは?名目金利から物価変動の影響(予想インフレ率)を差し引いた金利を指します?2021年のインフレ率は0%~0.5%程度でしたが?この時の借入金利が例えば1%ならば?実質金利は1%~0.5%ということになります?一方?現在のインフレ率は2%臺の前半ですので?1.5%で借り入れをしたとしても?実質金利は-0.5%となり?実質金利を比較すれば現在の方が低くなります?
このように?賃料の上昇と低金利(金融緩和の継続と実質金利の低下)の狀況が2025年も続くと思いますので?不動産投資市況は引き続き活況となりそうです?とすれば?2025年の貸家の新設住宅著工戸數も概ね2024年の水準が続くものと思われます?
ただし?依然として都市部での賃貸住宅建築適地?土地活用検討用地は?かなり少ない狀況が続いており?2024年以上に地方や郊外に収益不動産の投資(=建築)の範囲は広がるでしょう?
最後に
物価上昇が続いている中で?名目賃金の上昇も顕著となってきました?金利が上昇する條件は整っていますが?現在の日銀は慎重な姿勢を崩していません?しかし?シンクタンクの予想では2025年中には0.25%の利上げが2回行われるという予測が多く?多少の金利上昇はあるでしょう?一方で?2025年1月後半にはアメリカの大統(tǒng)領がトランプ氏に代わり?その政策は?アメリカ國內経済が盛り上がり?アメリカで収まりつつあるインフレを呼び起こすものが多くなっています?そうなれば?ドル高―円安の基調が続くことになり?我が國の物価上昇?建築工事費の上昇は避けられそうにありません?そのため?建築をお考えの方は早めの決斷がいいと思われます?
2025年の不動産市況も概ね良好と思われますが?利上げが続いた時の?マスコミなどによる?不動産市況におけるネガティブムードの報道?にだけは注意したいところです?もし?ネガティブ報道が続くような時には?適切にデータなど情報を収集し?冷靜な対応をしてください?








